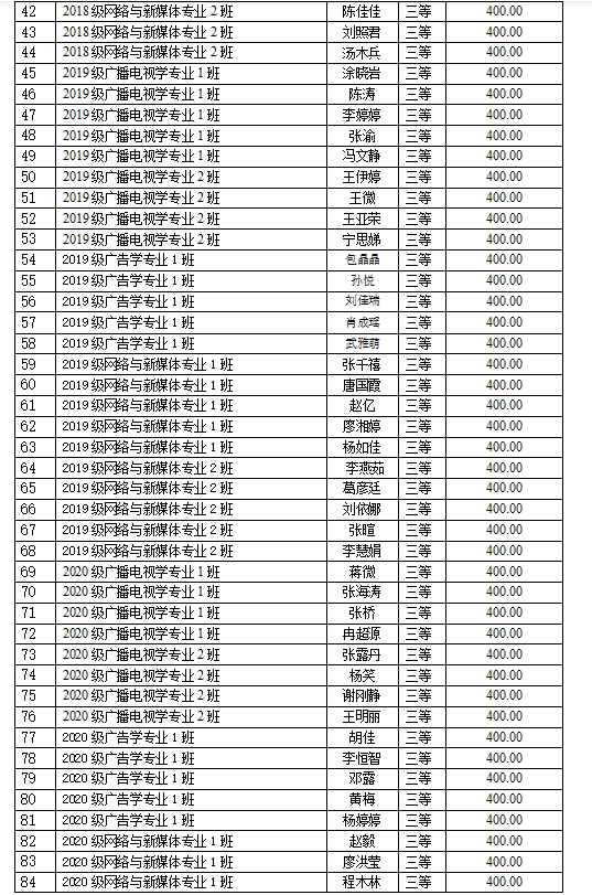
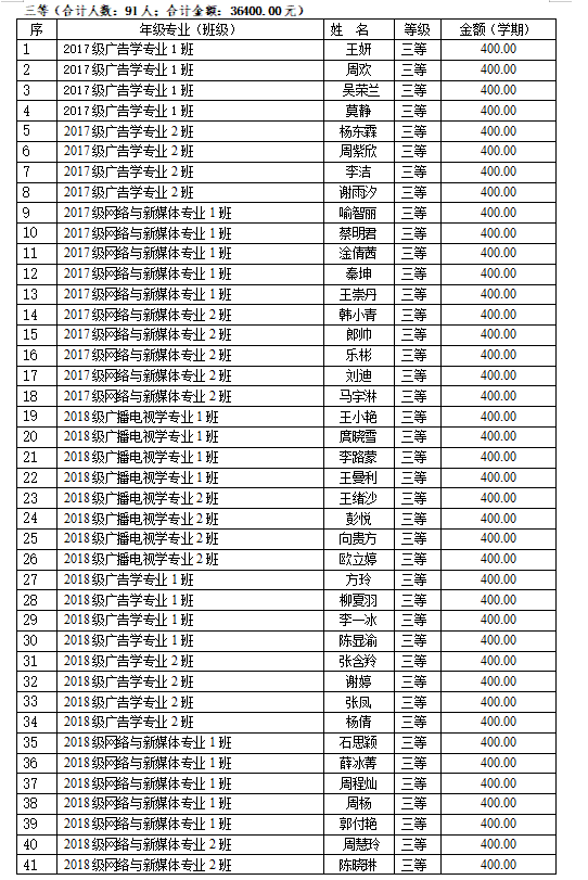
3月10日在9728太阳集团辅导员办公室,2020-2021学年度第一学期奖学金评定顺利结束。本着公开、公平、公正的原则,经各班认真评比,学工办审核评定,我院严格审查决定,全学院共有937名学生参与了评比,占全系总人数939的99%,共有163名学生获奖。其中,朱绍岽等22人获得一等奖学金,赵诗雨等50人获得二等奖学金,王妍等91人获得三等奖学金。祝贺以下同学获得2020-2021学年度第一学期奖学金!
2020-2021学年度第一学期的奖学金评选已经结束,但是大学奖学金的争夺战并没有结束,你的努力决定你的高度,奖学金不会等待没有准备的人,新的学期来临,大家要不断努力,不断进步哦!
以下是获得奖学金学生名单:





